Dự án CCN Hải Sơn – Long Thượng
- Home
- Dự án CCN Hải Sơn – Long Thượng
HỒ SƠ MÔI TRƯỜNG DỰ ÁN CCN HẢI SƠN LONG THƯỢNG
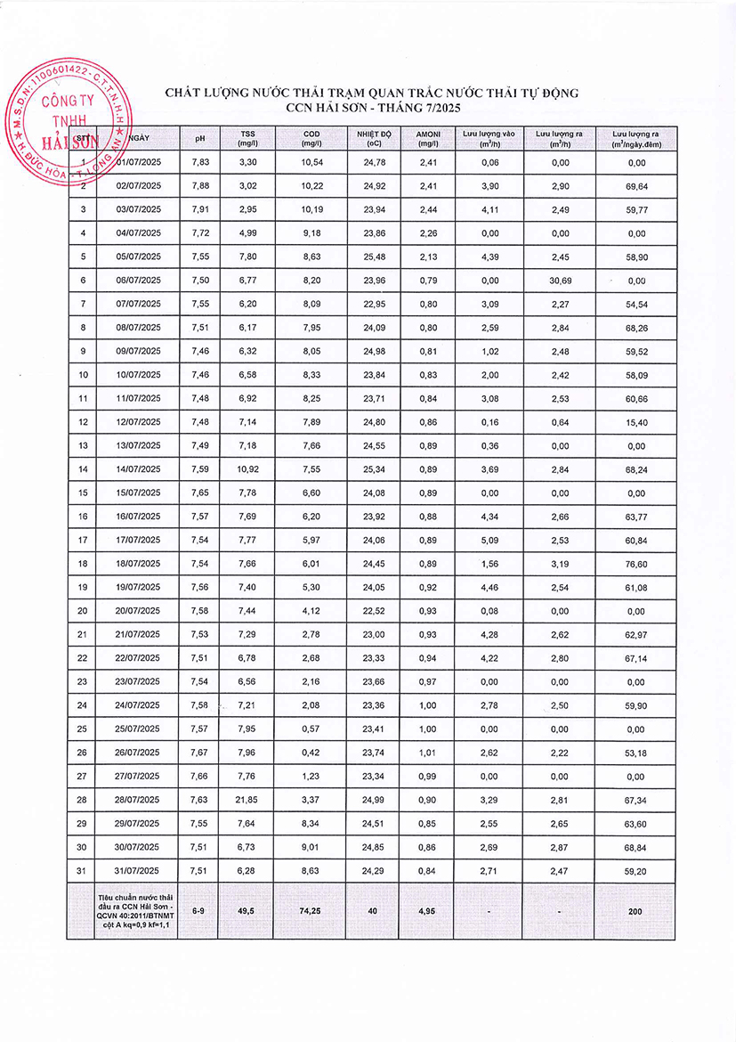
Chất lượng nước thải - trạm quan trắc tự động
Previous
Next
Kết quả phân tích chất lượng nước sạch
Năm 2024
kết quả quan trắc tự động giếng khai thác
Previous
Next














































