Giới thiệu
Câu chuyện của chúng tôi
Quỹ đất
Dự án
KCN Hải Sơn – Đức Hòa Hạ
KCN Xuyên Á
CCN Hải Sơn – Đức Hòa Đông
KCN Nam Thuận
CCN Hải Sơn – Long Thượng
Thế mạnh của dự án
Vì sao chọn HaiSon Group
Tư Vấn Đầu Tư
Hệ Thống Quản Lý
Hạ Tầng Cơ Sở
Ngành nghề tiếp nhận đầu tư
Môi Trường
Dự án KCN Hải Sơn – Đức Hòa Hạ
Dự án KCN Hải Sơn – Đức Hòa Đông
Dự án CCN Hải Sơn – Long Thượng
Truyền thông
Tin tức & Hoạt động công ty
Ấn phẩm
Hình ảnh/ Video
Liên hệ
Giới thiệu
Câu chuyện của chúng tôi
Quỹ đất
Dự án
KCN Hải Sơn – Đức Hòa Hạ
KCN Xuyên Á
CCN Hải Sơn – Đức Hòa Đông
KCN Nam Thuận
CCN Hải Sơn – Long Thượng
Thế mạnh của dự án
Vì sao chọn HaiSon Group
Tư Vấn Đầu Tư
Hệ Thống Quản Lý
Hạ Tầng Cơ Sở
Ngành nghề tiếp nhận đầu tư
Môi Trường
Dự án KCN Hải Sơn – Đức Hòa Hạ
Dự án KCN Hải Sơn – Đức Hòa Đông
Dự án CCN Hải Sơn – Long Thượng
Truyền thông
Tin tức & Hoạt động công ty
Ấn phẩm
Hình ảnh/ Video
Liên hệ
VỊ TRÍ
THÔNG TIN LIÊN LẠC
Trung tâm điều hành KCN Hải Sơn
hotro.kcnhaison@gmail.com
(+84)917 77 88 99
Dự án KCN Hải Sơn – Đức Hòa Hạ
Home
Dự án KCN Hải Sơn – Đức Hòa Hạ
HỒ SƠ MÔI TRƯỜNG DỰ ÁN KCN HẢI SƠN
Chất lượng nước thải KCN Hải Sơn GĐ 1 - 2
Chất lượng nước thải trạm quan trắc KCN Hải Sơn GĐ 1-2 - Tháng 7 năm 2024
Chất lượng nước thải trạm quan trắc KCN Hải Sơn GĐ 1-2 - Tháng 8 năm 2024
Chất lượng nước thải trạm quan trắc KCN Hải Sơn GĐ 1-2 - Tháng 9 năm 2024
Chất lượng nước thải trạm quan trắc KCN Hải Sơn GĐ 1-2 - Tháng 10 năm 2024
Chất lượng nước thải trạm quan trắc KCN Hải Sơn GĐ 1-2 - Tháng 12 năm 2024
Chất lượng nước thải trạm quan trắc KCN Hải Sơn GĐ 1-2 - Tháng 1 năm 2025
Chất lượng nước thải trạm quan trắc KCN Hải Sơn GĐ 3-4 - Tháng 11 năm 2024
Chất lượng nước thải trạm quan trắc KCN Hải Sơn GĐ 1-2 - Tháng 2 năm 2025
Chất lượng nước thải trạm quan trắc KCN Hải Sơn GĐ 1-2 - Tháng 3 năm 2025
Chất lượng nước thải trạm quan trắc KCN Hải Sơn GĐ 1-2 - Tháng 4 năm 2025
Chất lượng nước thải trạm quan trắc KCN Hải Sơn GĐ 1-2 - Tháng 5 năm 2025
Chất lượng nước thải trạm quan trắc KCN Hải Sơn GĐ 1-2 - Tháng 6 năm 2025
Chất lượng nước thải trạm quan trắc KCN Hải Sơn GĐ 1-2 - Tháng 7 năm 2025
Chất lượng nước thải trạm quan trắc KCN Hải Sơn GĐ 1-2 - Tháng 8 năm 2025
Chất lượng nước thải trạm quan trắc KCN Hải Sơn GĐ 1-2 - Tháng 9 năm 2025
Chất lượng nước thải trạm quan trắc KCN Hải Sơn GĐ 1-2 - Tháng 10 năm 2025
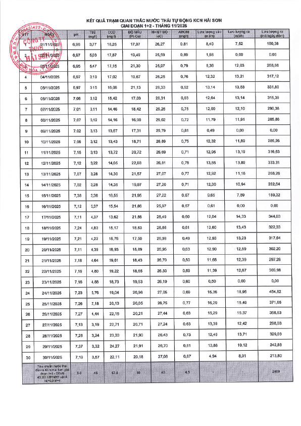
Chất lượng nước thải trạm quan trắc KCN Hải Sơn GĐ 1-2 - Tháng 11 năm 2025
Chất lượng nước thải trạm quan trắc KCN Hải Sơn GĐ 1-2 - Tháng 12 năm 2025
Chất lượng nước thải trạm quan trắc KCN Hải Sơn GĐ 1-2 - Tháng 1 năm 2026
Chất lượng nước thải trạm quan trắc KCN Hải Sơn GĐ 1-2 - Tháng 2 năm 2026
Chất lượng nước thải trạm quan trắc KCN Hải Sơn GĐ 1-2 - Tháng 3 năm 2026
Chất lượng nước thải trạm quan trắc KCN Hải Sơn GĐ 1-2 - Tháng 4 năm 2026
Previous
Next
Chất lượng nước thải KCN Hải Sơn GĐ 3 - 4
Chất lượng nước thải trạm quan trắc KCN Hải Sơn GĐ 3-4 - Tháng 7 năm 2024
Chất lượng nước thải trạm quan trắc KCN Hải Sơn GĐ 3-4 - Tháng 8 năm 2024
Chất lượng nước thải trạm quan trắc KCN Hải Sơn GĐ 3-4 - Tháng 9 năm 2024
Chất lượng nước thải trạm quan trắc KCN Hải Sơn GĐ 3-4 - Tháng 10 năm 2024
Chất lượng nước thải trạm quan trắc KCN Hải Sơn GĐ 3-4 - Tháng 11 năm 2024
Chất lượng nước thải trạm quan trắc KCN Hải Sơn GĐ 3-4 - Tháng 12 năm 2024
Chất lượng nước thải trạm quan trắc KCN Hải Sơn GĐ 3-4 - Tháng 1 năm 2025
Chất lượng nước thải trạm quan trắc KCN Hải Sơn GĐ 3-4 - Tháng 2 năm 2025
Chất lượng nước thải trạm quan trắc KCN Hải Sơn GĐ 3-4 - Tháng 3 năm 2025
Chất lượng nước thải trạm quan trắc KCN Hải Sơn GĐ 3-4 - Tháng 4 năm 2025
Chất lượng nước thải trạm quan trắc KCN Hải Sơn GĐ 3-4 - Tháng 5 năm 2025
Chất lượng nước thải trạm quan trắc KCN Hải Sơn GĐ 3-4 - Tháng 6 năm 2025
Chất lượng nước thải trạm quan trắc KCN Hải Sơn GĐ 3-4 - Tháng 7 năm 2025
Chất lượng nước thải trạm quan trắc KCN Hải Sơn GĐ 3-4 - Tháng 8 năm 2025
Chất lượng nước thải trạm quan trắc KCN Hải Sơn GĐ 3-4 - Tháng 9 năm 2025
Chất lượng nước thải trạm quan trắc KCN Hải Sơn GĐ 3-4 - Tháng 10 năm 2025
Chất lượng nước thải trạm quan trắc KCN Hải Sơn GĐ 3-4 - Tháng 11 năm 2025
Chất lượng nước thải trạm quan trắc KCN Hải Sơn GĐ 3-4 - Tháng 12 năm 2025
Chất lượng nước thải trạm quan trắc KCN Hải Sơn GĐ 3-4 - Tháng 11 năm 2024
Chất lượng nước thải trạm quan trắc KCN Hải Sơn GĐ 3-4 - Tháng 1 năm 2026
Chất lượng nước thải trạm quan trắc KCN Hải Sơn GĐ 3-4 - Tháng 2 năm 2026
Chất lượng nước thải trạm quan trắc KCN Hải Sơn GĐ 3-4 - Tháng 3 năm 2026
Chất lượng nước thải trạm quan trắc KCN Hải Sơn GĐ 3-4 - Tháng 4 năm 2026
Previous
Next
Kết quả phân tích chất lượng nước thải định kỳ
Quý 2 năm 2024 GĐ 1-2
Quý 2 năm 2024 GĐ 3-4
Quý 3 năm 2024 GĐ 1-2
Quý 3 năm 2024 GĐ 3-4
Quý 4 năm 2024 GD 1-2
Quý 4 năm 2024 GD 3-4
Quý 1 năm 2025 GD 3-4
Quý 1 năm 2025 GD 1-2
Quý 2 năm 2025 GD 3-4
Quý 2 năm 2025 GD 1-2
Quý 3 năm 2025 GD 1-2
Quý 3 năm 2025 GD 3-4
Quý 4 năm 2025 GD 3-4
Quý 4 năm 2025 GD 1-2
Quý 1 năm 2026 GD 3-4
Quý 1 năm 2026 GD 1-2
Previous
Next
Các hồ sơ môi trường khác
Giấy phép môi trường Dự án KCN Hải Sơn GĐ 1-2
Kế hoạch phòng ngừa ứng phó sự cố môi trường KCN Hải Sơn GĐ 1-2
Quyết định phê duyệt DTM Dự án KCN Hải Sơn GĐ 3-4
Kế hoạch phòng ngừa ứng phó sự cố môi trường KCN Hải Sơn GĐ 3-4
Giấy phép xả thải KCN Hải Sơn GĐ 3-4
Quy định về QL môi trường trong KCN Hải Sơn
Giấy xác nhận hoàn thành công trình bảo vệ môi trường